
移動電源設計的關鍵設計測試是由EMI電子工程師經常擔心測試EMI測試失敗。若電路EMI幾次測試失敗將是一場噩夢。你必須日夜工作EMI實驗室工作可以解決問題,防止商品發布延遲。對于移動電源等消費品,設計周期短,EMI驗證限制嚴格,想加足夠的EMI過濾器順利完成EMI測試。但是你不想增加空間,也不想在電路層面增加太多的成本,這似乎很難兩者兼而有之。
TIdesign低輻射EMI變壓器參考設計(PMP9778)帶來了這樣的解決方案??蛇m用于2.7-4.4V輸入電壓.5V/3A.9V/2A和12V/1.5A功率,只適用于移動電源應用軟件。根據布局和布局的升級TI設計能獲得的裕度比在EN55022和CISPR22B六聲貝高于級輻射測試。讓我們來看看設計過程。
明確重要的電流通道
EMI從電流轉變(di/dt)循環的高瞬時速率逐漸增加。因此,我們應該在設計開始時區分高di/dt關鍵路徑。掌握開關電源中的電流傳輸路徑和信號流是很重要的。
圖1顯示了變壓器的拓撲結構和臨界電流路徑。S2合閉,S當1打開時,交流電流流過藍色環路。S1合閉,S當2打開時,交流電流流過綠色環路。因此,電流通過輸入電容器Cin,電感器L是一個連續電流,電流通過S2.S并導出電容器Cout是脈沖電流(紅色環路)。因此,紅色環路被定義為臨界電流路徑。這種方法最高EMI動能。在布局期間,應盡量避免被它包圍的區域。
圖1.升壓轉換器的臨界電流路徑
最小化高di/dt環路面積
圖2所示為TPS61088引腳配備。圖3顯示TPS61088臨界電流路徑布局實例。NC引腳表示設備內部沒有連接。因此,它們可以連接到PGND。從電氣的角度來看,有兩個NC引腳連接到PGND接地平面有利于排熱,減少回路阻抗。EMI從角度看,兩個NC引腳連接到PGND促進接地平面TPS61088的VOUT和PGND平面更接近對方。這使得導出電容器的布局更容易。從圖3可以看出,06031-UF(或04021-UF)高頻陶瓷電容器COUT_HF盡量挨近VOUT引腳會導致高di/dt環路面積最小。
圖2.TPS61088引腳配置
圖3.TPS61088關鍵路徑布局示例
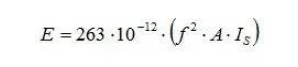
距離接地平面10米的高度di/di以下計算公式可以強制回路的大場:
圖4顯示使用和不使用COUT_HF的輻射EMI結論。EMI根據COUT_HF改善了4dBuV/m。
(圖4.帶/沒有COUT_HF的輻射EMI結論)
在關鍵路徑下放置一個接地平面
高跟蹤電感引起輻射EMI差,由于磁場強度與電感正相關,將固定接地平面放置在臨界跟蹤的下一層。
表1不同PCB板中的跟蹤電感。您可以看到,在信號層和接地平面之間0.4mm四層絕緣厚度PCB其跟蹤電感比1.2mm厚的2層PCB跟蹤電感要小得多。因此,放置間距最小的固定接地平面的關鍵路徑是減少EMI最有效的方法之一。
表1.跟蹤電感(布線長度)=5cm)
PCBh(mm)Wg(mm)L(nH)單面PCB----522層PCB1.2103.64層PCB0.4101.2
圖5所示為2層PCB和4層PCB的輻射EMI結論。輻射是基于相同的布局和相同的試驗條件EMI根據4層PCB可改進10dBuV/m。
圖5.一個2層PCB和一個4層PCB的輻射EMI結果
加上RC緩沖器
如果輻射水平仍超過規定水平,且布局不能再改善,則在TPS61088SW加一個引腳RC緩沖器和電源接地有助于減少輻射EMI水準。RC緩沖器應放置在限位開關節點和電源接地位置(圖6)。它能有效地抑制它SW電壓環,這意味著在振鈴頻率環境下輻射EMI測試得到改進。
圖6.RC緩沖器的布置
通過上述簡單而有效的優化方式,良好的EMI性能在移動電源設計中成為可能。